Download B.sc Mathematics Syllabus Bihar University PNG

Get Stpm Mathematics T Assignment Methodology 2021 Images

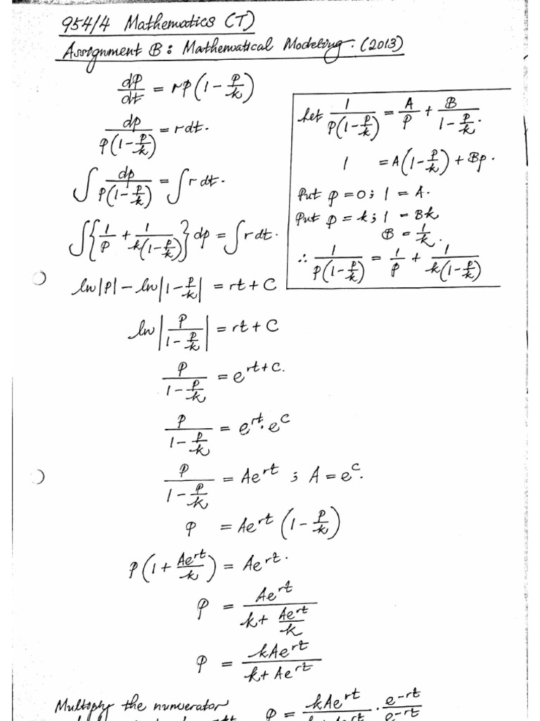
Get Stpm Mathematics T Assignment Methodology 2021 Images. Majlis peperiksaan malaysia (mpm) yang ditubuhkan pada 1 februari 1980 di bawah akta majlis peperiksaan malaysia akta 225 ialah sebuah badan berkanun yang beroperasi di bawah naungan kementerian pelajaran. Elementary row operations in matrices introduction matrices are methodology to reduce matrices into row echelon form, elementary row operation is used.

STPM 2016 Mathematics (T) Term 2 Assignment | KK LEE ...
STPM 2016 Mathematics (T) Term 2 Assignment | KK LEE ... from kkleemaths.com
L ee k ian k eong stpm mathematics (t) 9: An essential subject for all learners, cambridge igcse mathematics is a fully examined course which encourages the development of mathematical knowledge as a key life skill, and as a basis for more advanced study. Numbers and sets real numbers exponents and logarithms complex numbers sets.

Where h is the grade for the home assignments, t is the written test grade, and e is the final exam grade.

Sijil tinggi persekolahan malaysia exam date. Majlis peperiksaan malaysia portal rasmi sistem online. (for malaysian schools by henry tan). There are three types of the row operations:

Komentar